Datasheet is currently unavailable. Try again or CONTACT US
Datasheet Protocol

CellCountEZ™ Cell Survival Assay Kit

4 References
KLD-001
1 Kit
n/a
Biochemical Assay, Cellular Assay
$231.00 /Per Item
Shipping info:

Find your nearest distributor for timely delivery and local support.

Product Details

CellCountEZ™ Cell Survival Assay Kit - KLD-001
Toxicity Proliferation and Survival Assay, cell proliferation and cell survival assay, cell viability kit, cell survival kit, cellular viability, cellular survival, HEDS assay, hydroxyethyl disulfide assay, quantifying cell growth and survival, cellular Drug toxicity
Cell Survival Kit

Application Details

Biochemical Assay, Cellular Assay  - View References
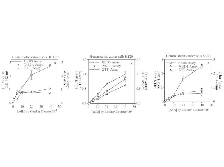
CellCountEZ™ Cell Survival Assay Kit contains enough reagents for 1000 assays using a 96-well plate. This assay gives a linear response for cells (0; 1,000; 5,000; 10,000; 20,000; 40,000) plated in 100 µl growth medium with up to 15% fetal bovine serum in a 96-well plate and measured 20 hours after plating. Drug toxicity could be measured for up to 4 days after treatment with drugs using this assay for 5,000 cells plated in 100 µl growth medium with up to 15% fetal bovine serum in a 96-well plate.

Formulation

None

Shipping & Handling

Wet Ice
Store kit at 2-8° C prior to opening. See kit insert for complete instructions.
See kit insert for complete instructions.
CellCountEZ™ Cell Survival Assay Kit is a tissue culture media-based assay that can measure metabolically active live cells and quantify cell death caused by radiation, chemotherapeutics or toxins. CellCountEZ™ is based on the ability of mammalian cells to rapidly and efficiently convert hydroxyethyl disulfide (HEDS) into mercaptoethanol (ME) through a bioreduction mechanism. Bioconversion of HEDS to ME relies on the activity of the oxidative pentose phosphate cycle (OPPC). CellCountEZ™ measures ME in the extracellular medium without the need for cellular lysis and extraction methods, this preserves the ability to perform other cellular tests in the same culture system. CellCountEZ™ is readily soluble, membrane permeable and converted by live cells intracellularly before transport into the extracellular culture media. CellCountEZ™ offers many advantages that make it superior to common existing methods for quantifying cell growth and survival.
(). Synthetic Human β Defensin-3-C15 Peptide in Endodontics: Potential Therapeutic Agent in Streptococcus gordonii Lipoprotein-Stimulated Human Dental Pulp-Derived Cells. Int J Mol Sci.
Applications
Cellular assay
(). Berberine activates AMPK to suppress proteolytic processing, nuclear translocation and target DNA binding of SREBP-1c in 3T3-L1 adipocytes. Molecular Medicine Reports
Applications
Cellular assay
(). Insights from HuR biology point to potential improvement for second-line ovarian cancer therapy. Oncotarget.
Applications
Cellular assay
(). Hydroxyethyl disulfide as an efficient metabolic assay for cell viability in vitro. Toxicol In Vitro
Applications
Cellular assay

Invalid lot number

If you need help finding your CoA, contact us

This product is for research use only and is not intended for therapeutic or diagnostic applications. Please contact a technical service representative for more information. All products of animal origin manufactured by Rockland Immunochemicals are derived from starting materials of North American origin. Collection was performed in United States Department of Agriculture (USDA) inspected facilities and all materials have been inspected and certified to be free of disease and suitable for exportation. All properties listed are typical characteristics and are not specifications. All suggestions and data are offered in good faith but without guarantee as conditions and methods of use of our products are beyond our control. All claims must be made within 30 days following the date of delivery. The prospective user must determine the suitability of our materials before adopting them on a commercial scale. Suggested uses of our products are not recommendations to use our products in violation of any patent or as a license under any patent of Rockland Immunochemicals, Inc. If you require a commercial license to use this material and do not have one, then return this material, unopened to: Rockland Inc., P.O. BOX 5199, Limerick, Pennsylvania, USA.